引言
随着科技进步及航海事业不断发展,电子海图显示与信息系统(electronicchartdisplayandinformationsystem,ECDIS)在保障船舶航行安全、提高船舶驾驶自动化等方面发挥着越来越重要的作用。《IHO数字海图测量数据传输标准》(简称S-57)和《电子海图显示与信息系统海图内容与显示规范》(简称S-52)等国际标准在国外已得到普遍推广和应用,日本、加拿大、德国、英国等国已相继展开ECDIS的研究开发工作,并取得了令人瞩目的成就。
我国对电子海图的研究工作也相继开展,部分科研机构和高校已开始投入S-57-S-52SDK的开发。但在海图显示系统开发关键技术方面,仍存在不少难点和问题需要加以研究,主要体现在:
1)海图数据解析。S-57的SENC的建立和S-57特征物标数据结构链表的设计技术。
2)海图显示技术。S-52海图表示库的建立和显示驱动器的设计。
3)经纬度转换为屏幕坐标。墨卡托投影换算方法,实现把地球椭球面表现在平面上。
4)无缝拼接技术。实现多幅海图之间的无缝连接,保证海图显示精度。
5)海图显示优化。优化数据检索方法,提高海图显示效率。
本文以电子海图显示标准为依据设计了系统功能结构,根据开发难度把系统划分为数据解析、海图显示等关键技术,论述各关键技术并提出实现方法和具体步聚。
相关国际标准
电子海图技术国际标准分为海图数据规范和应用数据系统性能规范,分别以S-57和S-52标准为代表。系统以S-57、S-52为主要规范,并遵循S-63、S-64和S-61等国际标准,对电子海图显示系统进行研究。系统开发各标准最新版本见表1(2010年8月更新)。

1.1S-57数据标准
S-57标准描述了海图数据存储格式及读取海图的解析方法。通过S-57标准的解析和转换,才能获得正确的矢量数据和地理物标数据。
S-57多采用链-节点的数据拓扑结构,它将真实世界定义为特征(feature)物标和空间(spatial)物标,前者描述特征属性,后者描述空间属性。特征物标包含描述特征属性,但不包括任何几何形状。特征物标共分为元物标(meta)、制图物标(cartographic)、地理物标(geo)和集合物标(collection)4类;空间物标分点(node)、边(edge)、面(face)3种,可以包含位置信息,同时必须包含几何形状。S-57标准数学模型见图1。

1.2S-52显示规范
S-52标准又称电子海图内容与显示规范,规定了电子航海图的内容和显示、数据结构、改正方法和信息传输途径,以及屏幕上电子海图的颜色和符号使用细节等。该标准主要分为3部分,第一部分说明电子海图更改的规范,并给出更正的方法和流程;第二部分介绍电子海图中颜色及符号的使用细节;第三部分对ECDIS的相关术语进行了定义和解释。其中第二部分又称表示库,是最重要的一部分。它把电子航海图(SENC)的每个目标及属性与显示器上的电子海图的表示方式联系起来。
表示库的数据主要有以下几个部分:
1)符号库。包含符号、线型、填充模板库。
2)颜色编码方案。包含用于白天、黄昏、夜晚的颜色表。
3)条件符号化程序模板。是一组运行程序而非直接应用符号化指令。
4)符号化指令。矢量符号的一种说明语言,由此生成ECDIS图像。
1.3其他标准
1)国际电工委员会(internationalelectrotechnicalcommission,IEC)61174标准。描述海图显示系统的性能、测试工作方法和要求。
2)IMO海图显示系统性能标准。给出了电子海图显示和信息系统的定义,规定了信息显示、海图更改和航线设计等性能要求。
3)S-63数据保护标准。描述了IMO推荐的电子海图信息保护标准及其相应的安全构造和操作程式,提出了相应的系统规格。
系统功能构架
国际标准海图显示系统以海图数据为基础,以显示为核心。将解析得到的S-57数据SENC,通过墨卡托投影计算,获得平面坐标,再通过坐标转换,最终得到可直接应用的屏幕坐标;通过对S-52标准的颜色库、形状表查询,将已获取的物标绘制于客户显示屏幕上,完成海图显示。此外,系统还需要进行数据结构优化和显示效率优化,使大量矢量数据的存储读取更快,符合海图系统向大型化和高效化发展的要求。系统功能组成见图2。

系统开发关键技术
3.1S-57海图数据解析
电子海图中一个物标结构化成一条记录,一条记录由一个或多个字段组成,一个字段有一个或多个子字段组成,多条记录组成一个交换集。S-57数据由一个或多个逻辑记录组成。每个记录由一个头标区(leader)、目次区(directory)和字段区(fieldarea)构成。第一个记录为数据描述记录,包含文件中数据的逻辑结构及其相关的描述;其后的记录为数据记录,包含了所要交换的具体数据,其结构见图3。
S-57数据的解析即特征记录和空间记录信息的提取。特征记录包含记录标识、物标标识、属性、指针控制和指针4类字段[3]。空间坐标信息主要存储于坐标字段中。S-57数据解析过程见图4。

3.2S-52海图表示库设计
海图表示库是人工建立的一个微型数据库,通过特定的搜索方法找到表示库里特定的表示对像和表示方法,表示对像可以是面,线,点,符号,位图等,表示方法是显示优先级,显示大小,显示位置,显示颜色,显示旋转角度等一系列条件下的显示方式。
表示库的点线面都是惟一的,可以建立对应ID惟一的表示库数据,在程序空闲时间里查找表示库的数据,在待使用时以最快速度索引到表示库。本系统如图5所示流程生成绘制物标。
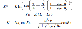
3.3墨卡托投影换算
S-57规定电子海图在应用系统显示时,由于显示器表面是平面,必须以某种地图投影的方式把地球椭球面表现在平面上才能进行显示和航海作业。这种投影一般采用墨卡托投影,但是地球不是标准的椭球,比如在台湾和在北京,投影的建模参数就不一样。此外,在极地地区,墨卡托投影不合适,必须采用透视方位投影。若投影计算误差太大,必定影响船舶导航的精度。因此,墨卡托投影要划区间进行,并且需要进行必要的校正

墨卡托转换公式如下:

式中:a为椭球体长半轴;b为椭球体短半轴;e为

为纵直角坐标,m;YE为横直角坐标,m。
3.4海图无缝拼接技术
当一幅海图不能覆盖整个显示区域(缩放平移等因素影响)时,需要多幅海图进行拼接以覆盖整个显示区,而子图的各边缘部分有交叉部分,如果图的比例尺不一样,那么就要在比例尺相同时进行无缝拼接。然而在比例尺调整的情况下,原始数据的精度会丢失,造成子图拼接“有缝”。一般的处理方法有:①在交叉部分切割,以一副子图的边缘为准;②提取多幅海图画图信息,确定海图之间的相对位置关系,以屏幕上固定一点为中心,计算出各海图偏移量再进行绘图,这样可以实现无缝拼接;③在比例尺较小时忽略(因为缝的效果不影响正常使用),大比例尺时以精度高的子图为准,忽略精度低的图叠加部分。其中第3种处理方法简单且满足显示要求,为系统开发所选用
为了提高显示速度和显示的连续性,绘图采用现在内存DC中绘好屏幕要显示和可能要显示的图,其大小约为屏幕DC的10倍,然后将图复制到屏幕上,能实现快速移动地图并没有闪烁。实现效果见图6

3.5大量海图数据显示优化技术
影响电子海图显示效果的重要因素之一是电子地图的显示效率,尤其在大量矢量数据存储的情况下,普通显示方式效率很低,无法满足实际应用的需求。解决电子海图显示速度、提高系统显示效率是海图显示系统开发的关键。如今解决这个问题的方法主要有以下2种:在硬盘中对地图数据进行分区建索引、广义MRB空间搜索,本系统采用广义MRB空间搜索技术。
在地理信息系统中多采用最小矩形(minimalboundingrectangle,MRB)策略。根据MBR策略,可以把一个空间对象的最小外界矩形分为4个子对象,并赋予每个子对象的MBR信息,进一步把子对象分为更小的子对象,直到满足一定的精度。通过四分形编码的线性四元树[10]的应用,将不包含空间对象的冗余编码删除,从而让索引更精准。
实验与总结
系统在内河船舶上实验测试,系统监控主界面见图7。图中将航行于该区域的AIS船舶的静态信息和动态信息列出,有利于船舶之间的信息交互。同时,用户通过对颜色模式、安全水深和航迹偏移参数进行设置,使系统发挥安全引航作用,也使之更具人性化。实验结果表明:国际标准电子海图显示系统能将S-57海图数据准确解析并在屏幕上高效显示,可以精确显示各船舶的地理位置信息,在船舶安全导航和船舶间交互等方面具有重要作用。

通过严格遵循国际电子海图显示开发的数据、显示等标准,系统围绕海图数据解析、显示驱动库设计和墨卡托坐标转换等关键技术展开研究应用,实现了对S-57数据的精确读取显示,并且海图刷新显示效率高,能实现无缝拼接,值得借鉴和推广。系统还为以后与雷达、AIS等系统结合开发了可裁剪的灵活应用接口,符合电子海图显示系统未来发展趋势,也是电子海图显示系统开发下一阶段的重点和难点。